Islamic Calligraphy

DUALITY OF TIME:

Complex-Time Geometry and Perpetual Creation of Space

by Mohamed Haj Yousef



Search Inside this Book


3.3.3  Schwarzschild Solution


After less than one year of their publication, Karl Schwarzschild (1873-1916) found the first non-trivial exact solution to the Einstein Field Equations. This solution is commonly called as the Schwarzschild metric, which laid the groundwork for the description of the final stages of gravitational collapse, and the objects such as singularities and black holes.

The Schwarzschild metric, or vacuum, is the most general spherically symmetric vacuum that describes the gravitational field of a spherical mass, on the assumption that the electric charge of the mass, angular momentum of the mass, and universal cosmological constant are all zero. The solution is a useful approximation for describing slowly rotating astronomical objects such as many stars and planets, including the Earth and the Sun.

A Schwarzschild black hole, which is a static black hole, is characterized by a surrounding spherical boundary, called the event horizon, which is situated at the Schwarzschild radius, often called the radius of a black hole. This boundary, however, is only a mathematical surface which is significant in determining the black hole’s properties. In general, any non-rotating and non-charged mass that is smaller than its Schwarzschild radius forms a black hole, as we shall describe below.

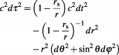
In space-time coordinates, withsignature, the line element for the Schwarzschild metric takes the form:

(3.11)

Whenis positive,is the proper time, whereis the time coordinate,is Lorentz factor,is the radial coordinate,is the colatitude,is the longitude, andis the Schwarzschild radius of the massive body, whileis the speed of light.

This solution is analogous to the classical Newtonian theory of gravity corresponding to the gravitational field around a point particle. However, the ratiois extremely small in most classical cases, when the mass density is not very large, so the corrections to Newtonian gravity are negligible. The ratio only becomes large close to black holes and other ultra-dense objects such as neutron stars.



  previous page

contents

next page  

Read Other Books:

Single Monad Model of the Cosmos
The Single Monad Model of the Cosmos: Ibn Arabi's View of Time and Creation
The Duality of Time Theory
The Duality of Time Theory: Complex-Time Geometry and Perpertual Creation of Space
The Duality of Time Theory
The Ultimate Symmetry: Fractal Complex-Time and Quantum Gravity
The Chest of Time
The Chest of Time: Particle-Wave Duality: from Time Confinement to Space Transcendence

Read this short concise exploration of the Duality of Time Postulate:

he Duality of Time Postulate
DoT: The Duality of Time Postulate and Its Consequences on General Relativity and Quantum Mechanics

Other Pages Related to Search Keywords:

  • ... Monadology =>:

  • ... Space Transcendence Read this short concise exploration of the Duality of Time Postulate: DoT: The Duality of Time Postulate and Its Consequences on General Relativity and Quantum Mechanics ...


  • ... Main Difference =>:

  • ... ation of Space by Mohamed Haj Yousef Search Inside this Book 3.4.5.13  Branching Space-Time Theories Branching space-time theories resemble the many worlds interpretation; however, the MAIN DIFFERENCE is that the they take the branching of history to be a feature of the topology of th ...


  • ... Transcendence Read =>:

  • ... mplex-Time Geometry and Perpertual Creation of Space The Ultimate Symmetry: Fractal Complex-Time and Quantum Gravity The Chest of Time: Particle-Wave Duality: from Time Confinement to Space Transcendence Read this short concise exploration of the Duality of Time Postulate: DoT: The Duality ...


  • ... Perpertual Creation =>:

  • ... he ensemble interpretation.     Read Other Books: The Single Monad Model of the Cosmos: Ibn Arabi's View of Time and Creation The Duality of Time Theory: Complex-Time Geometry and Perpertual Creation of Space The Ultimate Symmetry: Fractal Complex-Time and Quantum Gravity The Che ...


  • ... Yousef Search =>:

  • ... ate: DoT: The Duality of Time Postulate and Its Consequences on General Relativity and Quantum Mechanics ...


  • ... Perpetual Creation =>:

  • ... e exploration of the Duality of Time Postulate: DoT: The Duality of Time Postulate and Its Consequences on General Relativity and Quantum Mechanics ...


  • ... Hidden Variable =>:

  • ... y the space-time topology itself branches. The branching space-time theory has applications to Bell’s theorem, quantum computation and Quantum Gravity, and it has some resemblance to HIDDEN VARIABLE theories and the ensemble interpretation, since it considers particles to have multi ...


  • ... Microscopic Level =>:

  • ... and Quantum Gravity, and it has some resemblance to hidden variable theories and the ensemble interpretation, since it considers particles to have multiple well defined trajectories at the MICROSCOPIC LEVEL . These trajectories can only be treated stochastically at a coarse grained level, ...


  • ... Relativity And Quantum Mechanics =>:

  • ... uality: from Time Confinement to Space Transcendence Read this short concise exploration of the Duality of Time Postulate: DoT: The Duality of Time Postulate and Its Consequences on General Relativity and Quantum Mechanics ...


  • ... State Vector =>:

  • ... branching of history to be a feature of the topology of the set of events, with their causal relationships, rather than a consequence of the separate evolution of different components of a STATE VECTOR . In the many-worlds interpretation, it is the wave-functions that branches, whereas in ...


  • ... Concise Exploration =>:

  • ... tual Creation of Space The Ultimate Symmetry: Fractal Complex-Time and Quantum Gravity The Chest of Time: Particle-Wave Duality: from Time Confinement to Space Transcendence Read this short CONCISE EXPLORATION of the Duality of Time Postulate: DoT: The Duality of Time Postulate and Its Con ...


  • ... Short Concise =>:

  • ... Perpertual Creation of Space The Ultimate Symmetry: Fractal Complex-Time and Quantum Gravity The Chest of Time: Particle-Wave Duality: from Time Confinement to Space Transcendence Read this SHORT CONCISE exploration of the Duality of Time Postulate: DoT: The Duality of Time Postulate and I ...


Welcome to the Single Monad Model of the Cosmos and Duality of Time Theory
Forgot Password? - [Register]

Message from the Author:

I have no doubt that this is the most significant discovery in the history of mathematics, physics and philosophy, ever!

By revealing the mystery of the connection between discreteness and contintuity, this novel understanding of the complex (time-time) geometry, will cause a paradigm shift in our knowledge of the fundamental nature of the cosmos and its corporeal and incorporeal structures.

Enjoy reading...

Mohamed Haj Yousef


Check this detailed video presentation on "Deriving the Principles of Special, General and Quantum Relativity Based on the Single Monad Model Cosmos and Duality of Time Theory".

Download the Book "DOT: The Duality of Time Postulate and Its Consequences on General Relativity and Quantum Mechanics" or: READ ONLINE .....>>>>



Subsribe to Newsletter:


My soul is from elsewhere, I'm sure of that, and I intend to end up there.
Jalaluddin Rumi [The Essential Rumi - trns. Coleman Barks]
quote